• Предмет: Математика
  • Автор: lithium95
  • Вопрос задан 10 лет назад

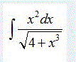
Решите пожалуйста мне

Приложения:

Ответы

Ответ дал: NNNLLL54
0
int frac{x^2, dx}{sqrt{4+x^3}}=[, t=4+x^3,; dt=3x^2, dx, ]=frac{1}{3}int frac{dt}{sqrt{t}}=\\=frac{1}{3}cdot 2sqrt{t}+C=frac{2}{3}sqrt{4+x^3}+C
Вас заинтересует