Ответы
Ответ дал:
0
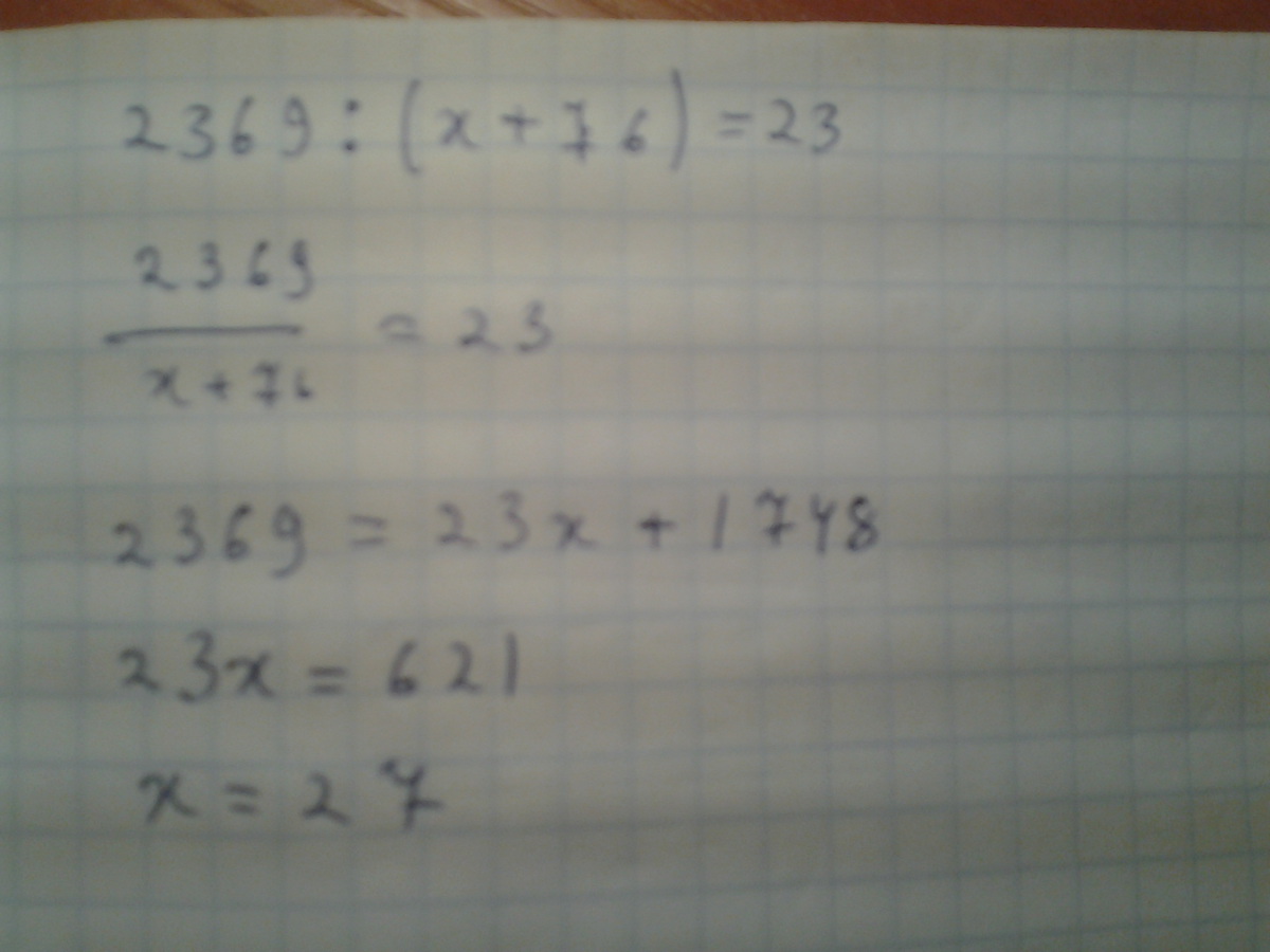
2369 : (х + 76) = 23
23(х + 76) = 2369
23х + 1748 = 2369
23х = 2369 - 1748
23х = 621
х = 621 : 23
х = 27
Проверка:
2369 : (27 + 76) = 23
2369 : 103 = 23
23 = 23
Ответ: х = 27.
23(х + 76) = 2369
23х + 1748 = 2369
23х = 2369 - 1748
23х = 621
х = 621 : 23
х = 27
Проверка:
2369 : (27 + 76) = 23
2369 : 103 = 23
23 = 23
Ответ: х = 27.
Ответ дал:
0
Решение на фотографии
Приложения:
Вас заинтересует
3 года назад
3 года назад
8 лет назад
10 лет назад
10 лет назад
11 лет назад