• Предмет: Химия
  • Автор: marina250995
  • Вопрос задан 11 лет назад

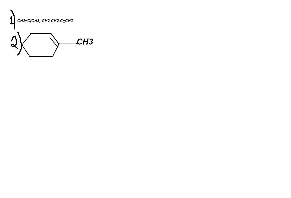
ПОМОГИТЕ,ПОЖАЛУЙСТА,НАЗВАТЬ ОРГАНИЧЕСКИЕ СОЕДИНЕНИЯ!

Приложения:

Ответы

Ответ дал: ivantrenin
0

У первого неправильно составлена формула: у углерода валентность равна четырём, а у него три атома водорода и вдобавок тройная связь!

Второй - 1-метилциклогексен

Вас заинтересует