Ответы
Ответ дал:
0
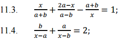
11.3.

Делаем замену
Тогда

Умножаем все на y и на (a-b)

Раскрываем скобки

Приводим подобные

Упрощаем и умножаем все на -1

Получили квадратное уравнение





11.4.

Приводим к общему знаменателю (x-a)(x-b)


Приравниваем числитель к 0



Свели к квадратному уравнению



Делаем замену
Тогда
Умножаем все на y и на (a-b)
Раскрываем скобки
Приводим подобные
Упрощаем и умножаем все на -1
Получили квадратное уравнение
11.4.
Приводим к общему знаменателю (x-a)(x-b)
Приравниваем числитель к 0
Свели к квадратному уравнению
Ответ дал:
0
а второе?
Ответ дал:
0
Немножко сбой произошел, пришлось 2 добавлять отдельно. Но теперь, глядя на простое решение в 11.4, я сомневаюсь, а правильно ли я решил 11.3 ? Или там тоже должно быть намного проще?
Ответ дал:
0
Думаю, что попроще
Ответ дал:
0
Исправил
Ответ дал:
0
Спасибо!
Вас заинтересует
3 года назад
3 года назад
8 лет назад
8 лет назад
10 лет назад
10 лет назад
11 лет назад