Ответы
Ответ дал:
0
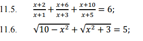
11.5.


Аналогично

Получаем


Если x > 0, то 1/(x+1) < 1; 3/(x+3) < 1; 5/(x+5) < 1.
Тогда их сумма не может равняться 3.
Если -1<x<0 или -3<x<-1 или -5<x<-3,
то сумма не может быть целой.
Если x < -5, то сумма вообще отрицательна.
Остается единственное решение: x = 0
1/1 + 3/3 + 5/5 = 1 + 1 + 1 = 3
11.6.

Область определения

Возведем в квадрат все уравнение






Они все попадают в область определения.
Аналогично
Получаем
Если x > 0, то 1/(x+1) < 1; 3/(x+3) < 1; 5/(x+5) < 1.
Тогда их сумма не может равняться 3.
Если -1<x<0 или -3<x<-1 или -5<x<-3,
то сумма не может быть целой.
Если x < -5, то сумма вообще отрицательна.
Остается единственное решение: x = 0
1/1 + 3/3 + 5/5 = 1 + 1 + 1 = 3
11.6.
Область определения
Возведем в квадрат все уравнение
Они все попадают в область определения.
Вас заинтересует
3 года назад
8 лет назад
8 лет назад
10 лет назад
10 лет назад
11 лет назад