Нужно решить четыре задачи по физике. Срочно! 10 класс
1 Задача.
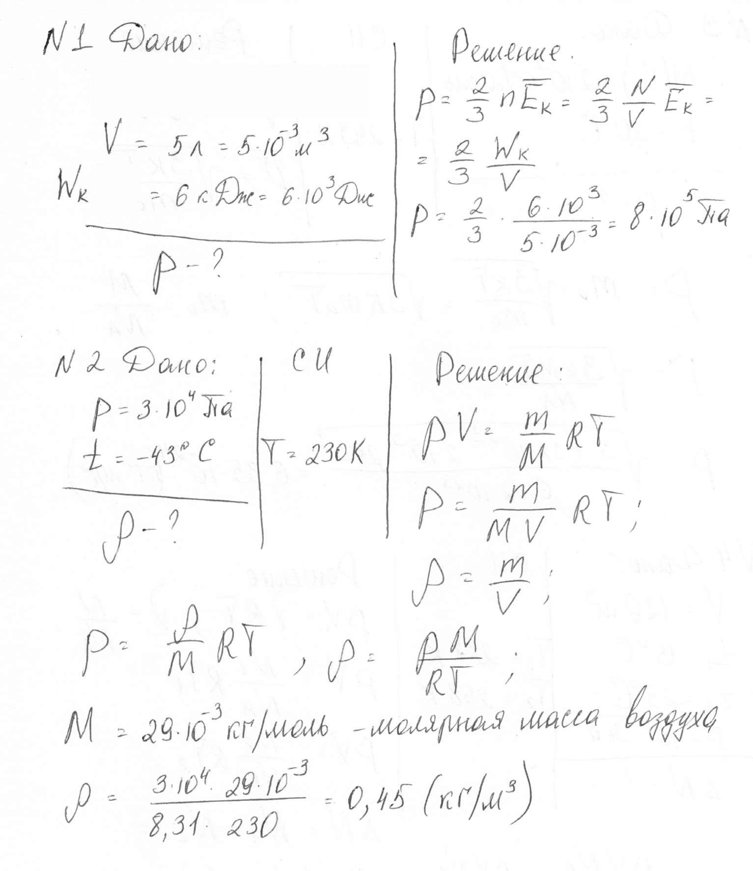
Под каким давлением находится в баллоне кислород, если вместимость баллона 5л., а кинетическая энергия поступательного движения всех молекул кислорода Wк=6 кДЖ.
2 Задача.
На некоторой высоте давление воздуха p=3*10^4 Па, а температура t=-43*C. Какова плотность воздуха на этой высоте.
3. Задача.
Найдите импульс молекулы водорода при температуре t=20*C. Скорость молекулы считать равной средней квадратичной
. 4. Задача.
Сколько молекул воздуха выйдет из комнаты объемом V=120м^3 при повышении температуры от 15 до 25 *С? Атмосферное давление p=10^5 Па.
Ответы
Ответ дал:
0
Задачи прикрепелены ниже во вложениях
Приложения:


Вас заинтересует
2 года назад
2 года назад
8 лет назад
10 лет назад
10 лет назад