• Предмет: Алгебра
  • Автор: mirasimashev
  • Вопрос задан 10 лет назад

помогите решить задачу

Приложения:

Ответы

Ответ дал: kalbim
0
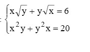
 left { {{x sqrt{y}+y sqrt{x}=6} atop {x^{2}y+xy^{2}=20}} right.

Замена:
x sqrt{y}=t>0
y sqrt{x}=m>0

left { {{t+m=6} atop {t^{2}+m^{2}=20}} right.

left { {{t^{2}+m^{2}+2tm=36} atop {t^{2}+m^{2}=20}} right.

left { {{20+2tm=36} atop {t^{2}+m^{2}=20}} right.

left { {{tm=8} atop {t^{2}+m^{2}=20}} right.

t^{2}+ frac{64}{t^{2}} =20
frac{t^{4}-20t^{2}+64}{t^{2}} =0
t^{4}-20t^{2}+64=0

Замена: t^{2}=k textgreater  0
k^{2}-20k+64=0, D=400-4*64=144=12^{2}
k_{1}= frac{20-12}{2}=4
k_{2}= frac{20+12}{2}=16

Вернемся к замене:
1) t^{2}=4
t_{1}=2
m_{1}=4
t_{2}=-2<0 - посторонний корень
2) t^{2}=16
t_{3}=4
m_{3}=2
t_{4}=-4<0 - посторонний корень

Вернемся к замене:
1)  left { {{x sqrt{y}=4} atop {y sqrt{x}=2}} right.
 sqrt{y}= frac{2}{x}
y= frac{4}{x^{2}}
frac{4 sqrt{x} }{x^{2}}=4
x=1
y=4
(1; 4)
2)  left { {{x sqrt{y}=2} atop {y sqrt{x}=4}} right.
 sqrt{y}= frac{4}{x}
y= frac{16}{x^{2}}
frac{16 sqrt{x} }{x^{2}}=2
frac{8 sqrt{x} }{x^{2}}=1
8 sqrt{x}=x^{2}
64x-x^{4}=0
x*(64-x^{3})=0
x=4
y=1
(4; 1)

Ответ: (1; 4), (4; 1)
Вас заинтересует