• Предмет: Алгебра
  • Автор: aniyn
  • Вопрос задан 10 лет назад

Решите,пожалуйста
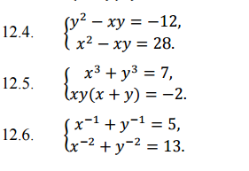
Решить системы уравнений
Картинка прилагается

Приложения:

Ответы

Ответ дал: ВладимирБ
0
Решение смотри в приложении
Приложения:
Вас заинтересует