• Предмет: Алгебра
  • Автор: katia2101
  • Вопрос задан 10 лет назад

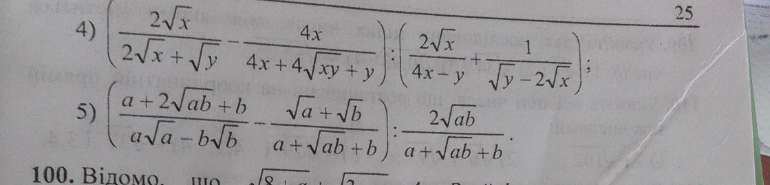
срочно помогите хотя б одно задание

Приложения:

Ответы

Ответ дал: yulkos
0
4 задание во вложении.
Приложения:
Ответ дал: yulkos
0
Спасибо, что заметила! Ответ только длинный:(
Ответ дал: katia2101
0
ну а что там делать то надо?
Ответ дал: yulkos
0
я заменила решение, открой
Ответ дал: katia2101
0
стасибо
Ответ дал: yulkos
0
да не за что:) сначала ведь накосячила)))
Вас заинтересует