Ответы
                                            Ответ дал: 
                                                                                    
                                        
                                            
                                                
                                                
                                                
                                                    0
                                                
                                            
                                        
                                    
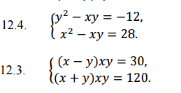
                                        12.4.



Делим 2 уравнение на 1 уравнение

Подставляем в любое из уравнений


Ответ: (-7; -3); (7; 3)
12.3.

Делим 2 уравнение на 1 уравнение

Подставляем в любое из уравнений



Ответ: (5; 3)
                                        
                                        
                                Делим 2 уравнение на 1 уравнение
Подставляем в любое из уравнений
Ответ: (-7; -3); (7; 3)
12.3.
Делим 2 уравнение на 1 уравнение
Подставляем в любое из уравнений
Ответ: (5; 3)
Вас заинтересует
                
                        2 года назад
                    
                
                        2 года назад
                    
                
                        7 лет назад
                    
                
                        10 лет назад
                    
                
                        10 лет назад