• Предмет: Алгебра
  • Автор: aniyn
  • Вопрос задан 10 лет назад

Решите,пожалуйста
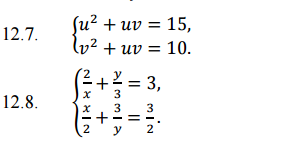
Решить системы уравнений
Картинка прилагается

Приложения:

Ответа на этот вопрос пока нет. Попробуйте найти его через форму поиска.

Вас заинтересует