• Предмет: Алгебра
  • Автор: NastyaGret
  • Вопрос задан 10 лет назад

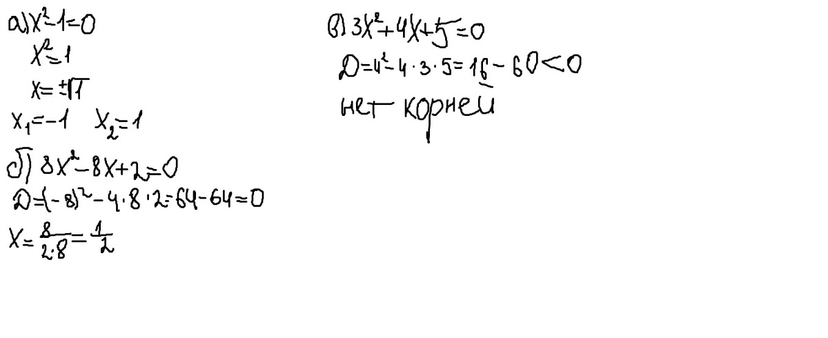
Решите квадратные ур-е:
a) x^2-1=0
б) 8x^2-8x+2=0
в) 3x^2+4x+5=0

Ответы

Ответ дал: Pelageya
0
Решение прикреплено...............
Приложения:
Вас заинтересует