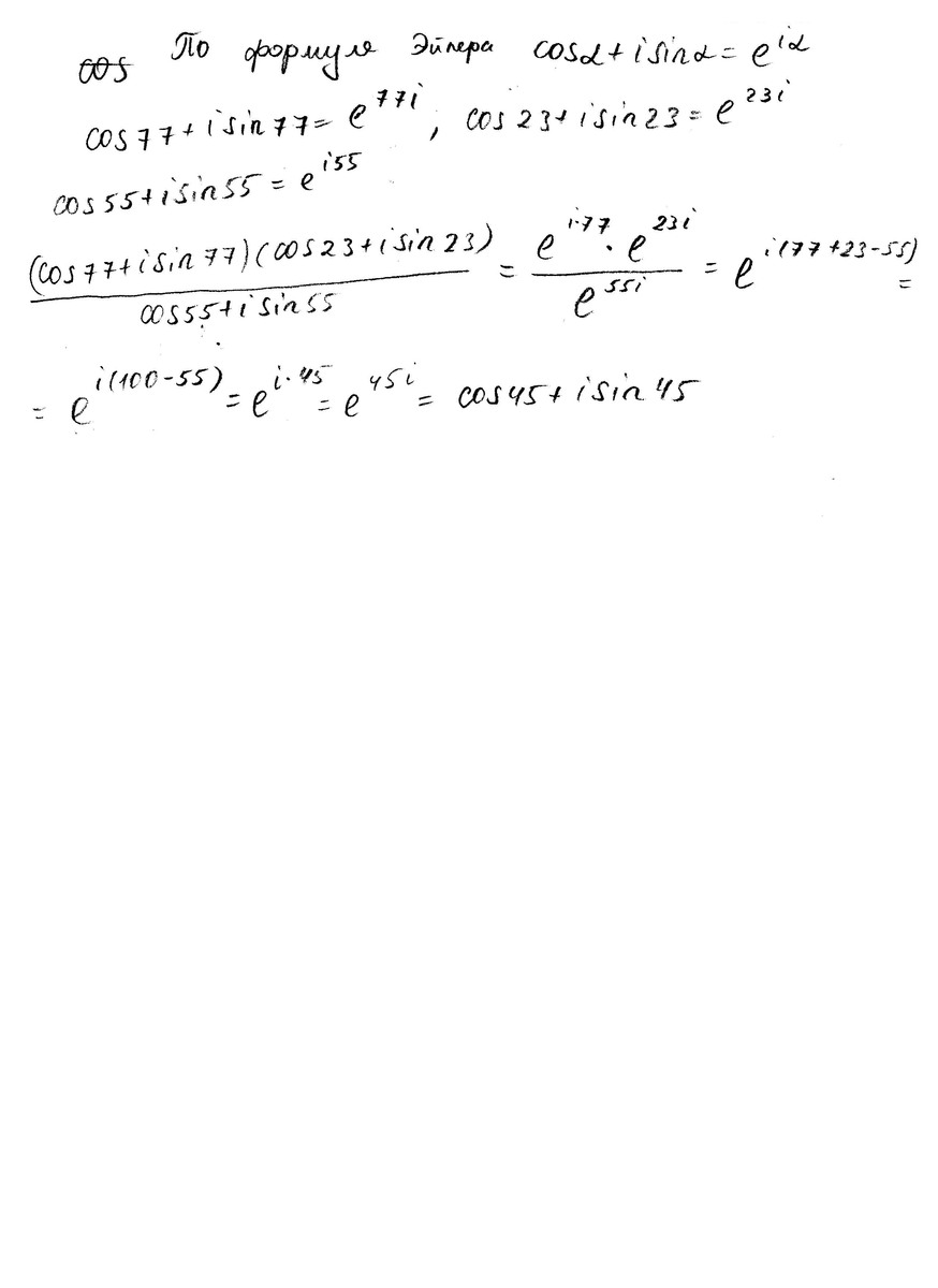
комплексные числа решите пожалуйста желательно распишите (cos77+i sin77)(cos23+i sin23)/cos55+i sin55
Ответы
Ответ дал:
0
Решение в приложении. Должно быть понятно.
Приложения:

Вас заинтересует
2 года назад
10 лет назад
10 лет назад
10 лет назад