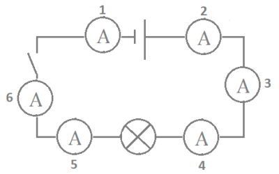
В цепь включены несколько амперметров.
Амперметр 2 показывает силу тока 0,61 А. Какую силу тока показывает амперметр 4? Ответ: амперметр 4 показывает А.
Приложения:

Ответы
Ответ дал:
0
Амперметр 2 и Амперметр 4-соединены последовательно ⇒I₂=I₄=0.61 A
отв:0,61 А
отв:0,61 А
Вас заинтересует
2 года назад
2 года назад
7 лет назад
7 лет назад
10 лет назад
10 лет назад