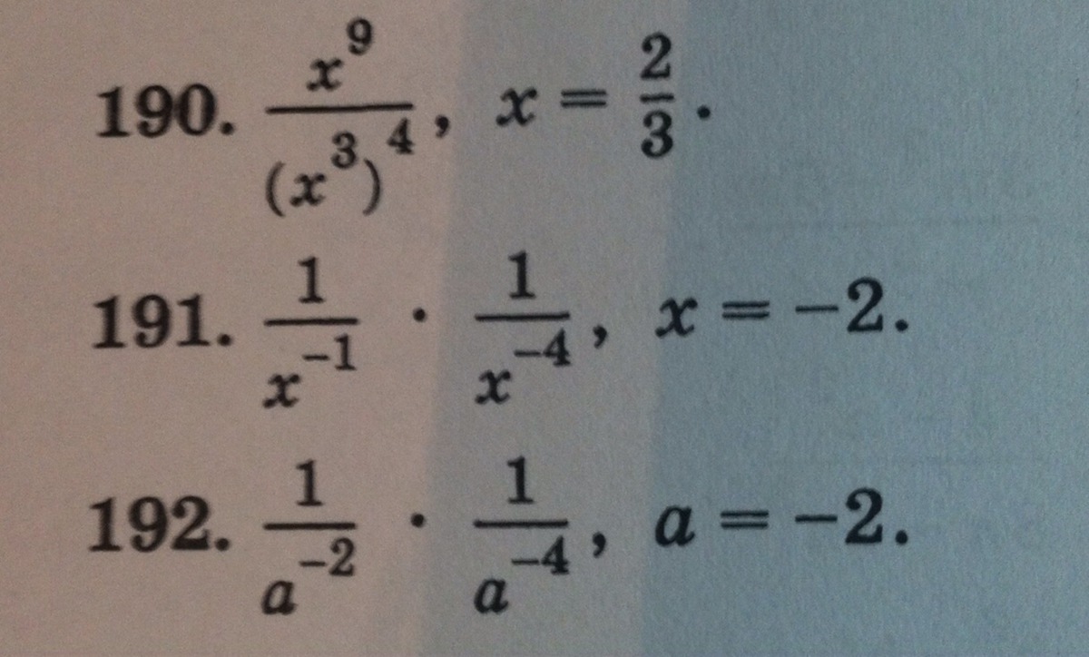
Представьте выражение в виде степени и найдите его значение при заданом значении переменой
Приложения:

Ответы
Ответ дал:
0
Ответ дал:
0
и как это рас шифровать?????
Вас заинтересует
2 года назад
2 года назад
7 лет назад
10 лет назад
10 лет назад