• Предмет: Алгебра
  • Автор: redial
  • Вопрос задан 10 лет назад

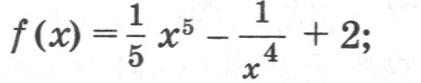
Помогите наити производный данной функции

Спс

Приложения:

Ответы

Ответ дал: kirichekov
0
f(x)'=((1/5)*x⁵-1/x⁴+2)'=(1/5)*5x⁴-(-4)*x⁻⁴⁻¹+0=x⁴+4*x⁻⁵=x⁴+4/x⁵
Ответ дал: kazimierz2015
0
f(x)= frac{1}{5}x^5 - frac{1}{x^4} +2 \ 
f'(x)=5* frac{1}{5}x^4 + frac{4x^3}{x^8}=x^4+ frac{4}{x^5}   \
Ответ дал: kirichekov
0
спасибо, бдите.
Ответ дал: Аноним
0
откуда 8?
Вас заинтересует