Ответы
Ответ дал:
0
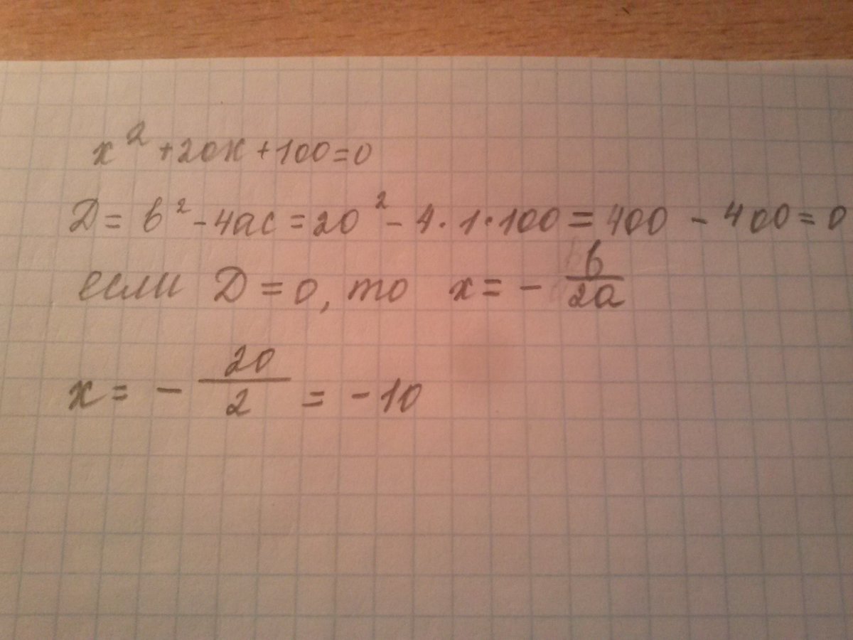
х²+20х+100=0
D=20²-4·100=400-400=0
x₁=x₂=-20/2=-10
или
можно воспользоваться формулой квадрата суммы
(х+10)²=0
х+10=0
х=-10
x₁=x₂=-20/2=-10
или
можно воспользоваться формулой квадрата суммы
(х+10)²=0
х+10=0
х=-10
Ответ дал:
0
Самое главное знать формулы дискриминанта и теорему Виета, и всё будет о'кей.:)
Приложения:
Вас заинтересует
3 года назад
8 лет назад
8 лет назад
10 лет назад
10 лет назад
11 лет назад