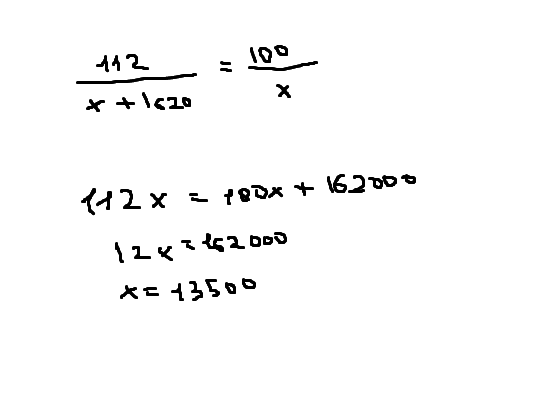
Сберегательный банк
выплачивает своим
вкладчикам 12% годовых.
Сколько денег надо положить
в банк. Чтобы через год
получить 1620 рублей
прибыли?
Ответы
Ответ дал:
0
,,,,,,,,,,,,,,,,,,,,,,,,,,,,,,,,,,,,,,,,,,,,,,,,,,,,,,,,
Приложения:

Вас заинтересует
2 года назад
2 года назад
7 лет назад
7 лет назад
10 лет назад
10 лет назад
10 лет назад
10 лет назад