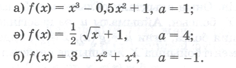
Помогите написать касательное уравнение проводимое к f(x) графигу функции в точке (a;f(a))
Cпс
Приложения:

Ответы
Ответ дал:
0
Уравнение касательной к графику функции у=f(x) в точке х=а имеет вид:

1) Находим

Уравнение касательной
у=1,5+2(х-1)
у=2х-0,5
Ответ. у=2х-0,5
2)

Ответ. Уравнение касательной
3)

Ответ. Уравнение касательной у=-2х+1
1) Находим
Уравнение касательной
у=1,5+2(х-1)
у=2х-0,5
Ответ. у=2х-0,5
2)
Ответ. Уравнение касательной
3)
Ответ. Уравнение касательной у=-2х+1
Ответ дал:
0
http://znanija.com/task/12672485
Ответ дал:
0
огромное спасибо за решение задачи не поможете с задачей по этому линку
Вас заинтересует
2 года назад
7 лет назад
7 лет назад
10 лет назад
10 лет назад
10 лет назад