• Предмет: Алгебра
  • Автор: anastasia19305
  • Вопрос задан 10 лет назад

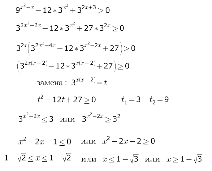
Показательное неравенство С3 9^{ x^{2}-x } -12* 3^{x2} + 3^{2x+3}  geq 0

Ответы

Ответ дал: LFP
0
т.к. 3^x ---всегда строго больше нуля, на это выражение можно разделить обе части неравенства...
и оно сведется к квадратному относительно 3^(x^2-2x)
Приложения:
Вас заинтересует