• Предмет: Алгебра
  • Автор: reborn500100
  • Вопрос задан 10 лет назад

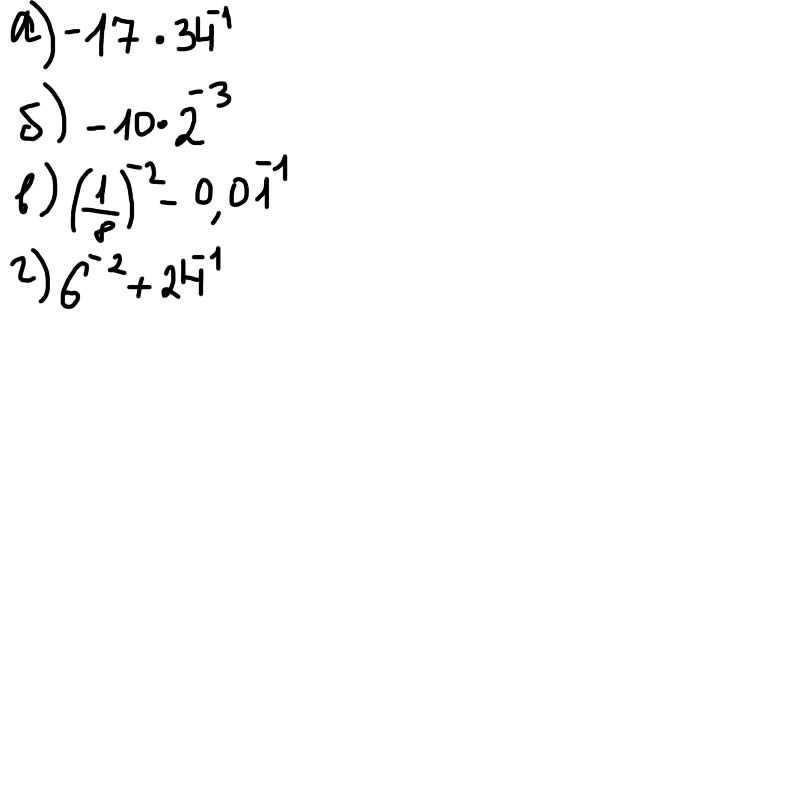
Помогите плиз :с
задание:вычислите

Приложения:

Ответы

Ответ дал: Rossomaxa2001
0
...................................
Приложения:
Вас заинтересует