• Предмет: Математика
  • Автор: akav
  • Вопрос задан 10 лет назад

Объясните, как найти множество решений неравенства:
log0.2((2x - 10)/(x + 11)) >= 0

Ответы

Ответ дал: artalex74
0
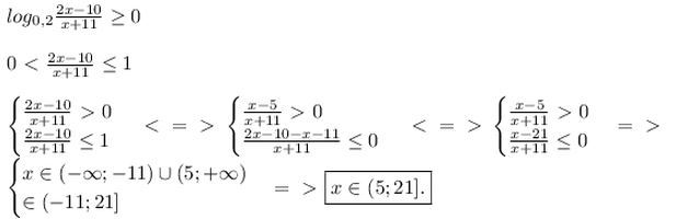
log_{0,2}frac{2x-10}{x+11} geq 0 \ \  0 textless  frac{2x-10}{x+11}  leq 1\  \ 
begin{cases} frac{2x-10}{x+11} textgreater  0 \ frac{2x-10}{x+11} leq 1 end{cases}  textless  = textgreater   
begin{cases} frac{x-5}{x+11} textgreater  0 \ frac{2x-10-x-11}{x+11} leq 0 end{cases}  textless  = textgreater   
begin{cases} frac{x-5}{x+11} textgreater  0 \ frac{x-21}{x+11} leq 0 end{cases}  = textgreater   \
begin{cases}x in (-infty; -11) cup (5;+infty) \ x in (-11;21] end{cases}  = textgreater   boxed {x in (5;21].}
Приложения:
Вас заинтересует