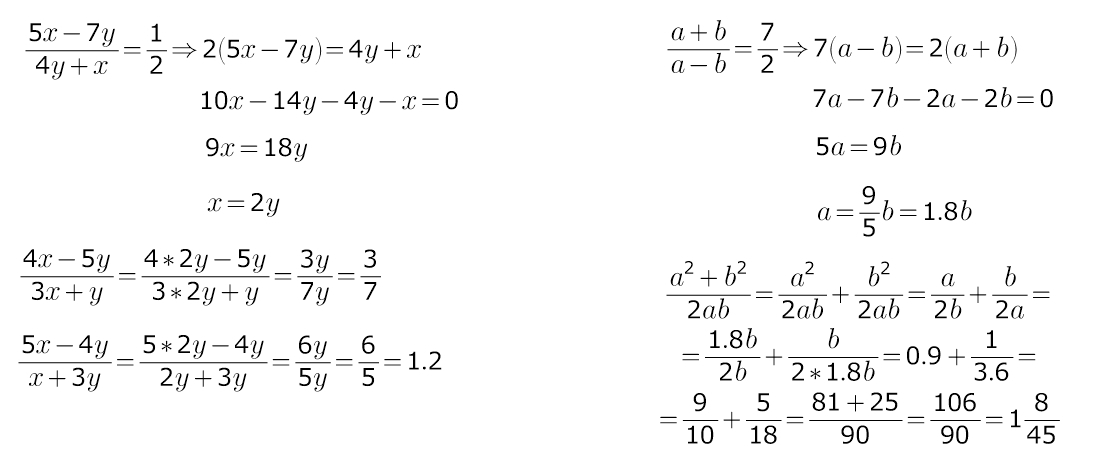
Добрый вечер!Помогите ,пожалуйста ,решить три примера ,очень нужно.Задание смотрите в фотографиях,что не понятно ,спрашивайте
Приложения:


Ответы
Ответ дал:
0
------------------------------------------------------------------
Приложения:

Вас заинтересует
2 года назад
2 года назад
7 лет назад
7 лет назад
10 лет назад
10 лет назад
10 лет назад