Ответы
Ответ дал:
0
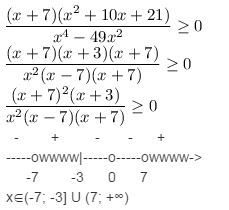
- + - - +
-----owwww|-----o-----owwww->
-7 -3 0 7
x∈(-7; -3] U (7; +∞)
Приложения:

Вас заинтересует
2 года назад
7 лет назад
7 лет назад
10 лет назад
10 лет назад
10 лет назад