• Предмет: Математика
  • Автор: Abronya
  • Вопрос задан 10 лет назад

Помогите, пожалуйста, решить тригонометрические уравнения. 1)sin6x*cos2x=sin5x*cos3x
ответ : piN/2 или +- pi/6 + piN или piN или pi/6+piN/3

Ответы

Ответ дал: artalex74
0
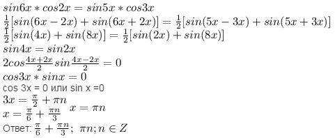
sin6x*cos2x=sin5x*cos3x\  frac{1}{2}[sin(6x-2x)+sin(6x+2x)]= frac{1}{2}[sin(5x-3x)+sin(5x+3x)]\
frac{1}{2}[sin(4x)+sin(8x)]=frac{1}{2}[sin(2x)+sin(8x)] \ sin4x=sin2x \ 
2cos frac{4x+2x}{2}sin frac{4x-2x}{2}=0 \ cos3x*sinx=0
cos 3x = 0 или sin x =0
3x= frac{ pi }{2}+ pi n \ x= frac{ pi }{6}+frac{ pi n}{3} x= pi n
Ответ:  frac{ pi }{6}+frac{ pi n}{3};  pi n; n in Z
Приложения:
Ответ дал: Abronya
0
спасибо!
Вас заинтересует