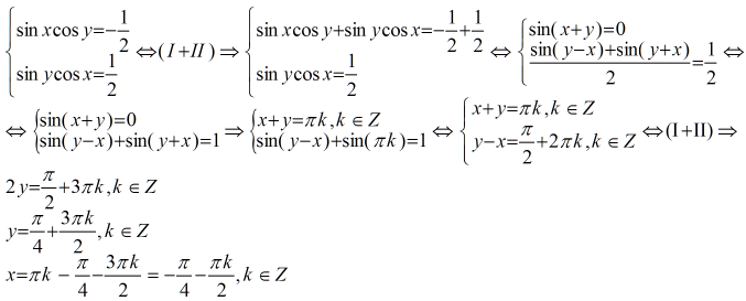
Решить систему уравнений
sin x cos y=-1/2
sin y cos x=1/2
______________
Sinxcosy+sinycosx=0
sin(x+y)=0
x+y=pi*n, n e Z и так же с минусом потом
А как найти отдельно x и y?
Ответы
Ответ дал:
0
Решение смотрите в приложении
Приложения:

Вас заинтересует
2 года назад
2 года назад
7 лет назад
7 лет назад
10 лет назад
10 лет назад