Ответы
Ответ дал:
0
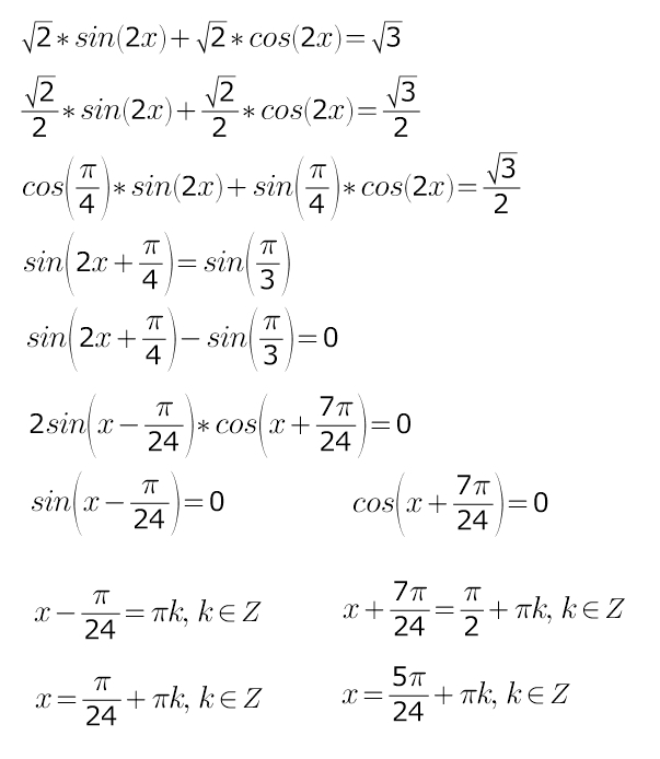
основная задача всегда --разложить выражение на множители...
первая формула: синус суммы
вторая формула: разность синусов
первая формула: синус суммы
вторая формула: разность синусов
Приложения:

Ответ дал:
0
на концах отрезка: f(0)=0, f(3)=-15
Ответ дал:
0
ответ 0?)
Ответ дал:
0
наибольшее значение ноль)))
Ответ дал:
0
спасибо огромное:)
Ответ дал:
0
пожалуйста!!
Ответ дал:
0
√2(sin2x+cos 2x)=√3
√2(√2sin (π/4+2x)=√3
sin (π/4+2x)=√3/2
π/4+2x=2π/3+2πk π/4+2x=π/3+2πk
2x=5π/12+2πk 2x=π/12+2πk
x=5π/24+πk, k∈Z x=π/24+πk, k∈Z
√2(√2sin (π/4+2x)=√3
sin (π/4+2x)=√3/2
π/4+2x=2π/3+2πk π/4+2x=π/3+2πk
2x=5π/12+2πk 2x=π/12+2πk
x=5π/24+πk, k∈Z x=π/24+πk, k∈Z
Приложения:

Вас заинтересует
2 года назад
2 года назад
10 лет назад
10 лет назад