Найдите наименьшее натуральное значение x,удовлетворяющее системе неравенств

1) 1; 2) 2; 3) 7; 4) 10; 5)11;
Ответы
Ответ дал:
0
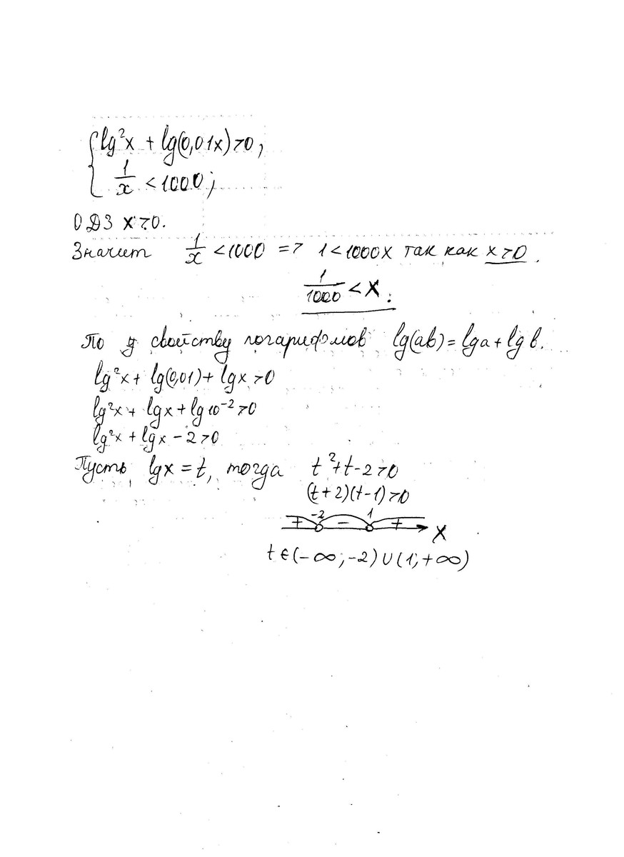
Решение в приложении. Должно быть понятно.
Приложения:
Ответ дал:
0
Решаем первое неравенство
///////-2____1///////
t∈ (-∞; -2) ∨ (1; +∞) или t < -2; t > 1
lg x < -2; lgx > 1
lgx <lg 0.01 lg x > 10
x < 0.01 x > 10
ОДЗ х > 0
///////0//0.01_____10/////////
\\\\\\\\\\\\\\\
x ∈ (0; 0.01) ∨ (10; +∞)
Решаем второе неравенство:
_-__0___+___0.001__-__
x ∈ (-∞; 0) ∨ (0.001; +∞)
Система:
{x ∈ (0; 0.01) ∨ (10; +∞)
{x ∈ (-∞; 0) ∨ (0.001; +∞)
Решение: х ∈ (0.001; 0.01) ∨ (10; +∞)
Ответ: 5) 11
Приложения:
Вас заинтересует
3 года назад
8 лет назад
8 лет назад
10 лет назад
10 лет назад
11 лет назад
11 лет назад