Ответы
Ответ дал:
0
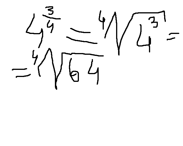
это будет корень 4-ой степени из 4 в третьей
Ответ дал:
0
решение во вложении))))
Приложения:

Вас заинтересует
8 лет назад
10 лет назад
10 лет назад
10 лет назад