• Предмет: Математика
  • Автор: ueffa276
  • Вопрос задан 10 лет назад

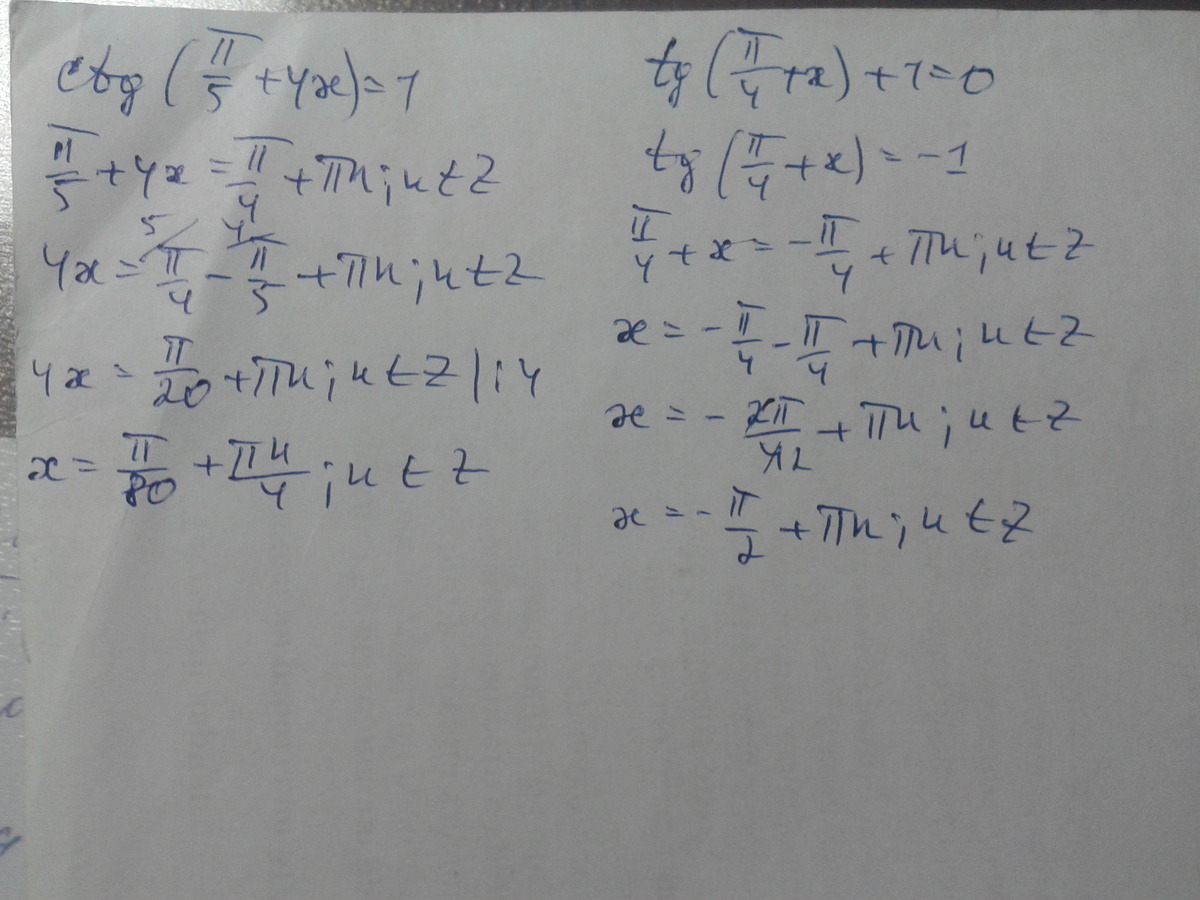
ctg(п/5+4x)=1

tg(п/4+x)+1=0

Ответы

Ответ дал: irinan2014
0
Используем частные случаи.
Приложения:
Вас заинтересует