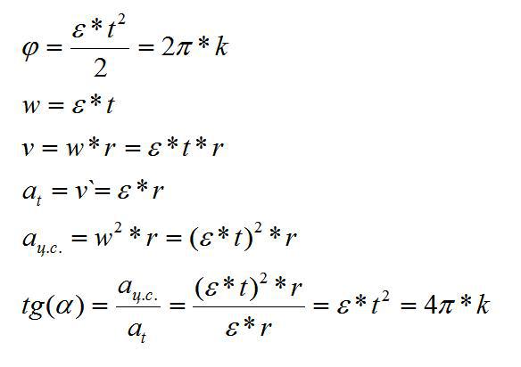
Диск начинает движение из состояния покоя и вращается равномерно-ускоренно. Каким будет угол между векторами скорости и ускорения произвольной точки диска, когда он сделает k оборотов?
Ответы
Ответ дал:
0
скорость сонаправлена с вектором тангенциального ускорения
тангенс искомого угла равен тангенсу угла между полным ускорением и его тангенциальной составляющей
тангенс искомого угла равен тангенсу угла между полным ускорением и его тангенциальной составляющей
Приложения:


Вас заинтересует
2 года назад
2 года назад
7 лет назад
10 лет назад
10 лет назад