• Предмет: Алгебра
  • Автор: jaga98
  • Вопрос задан 10 лет назад

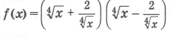
Помогите наити производный данный функции
Спс

Приложения:

Ответы

Ответ дал: manyny06
0
решение смотри на фотографии
Приложения:
Вас заинтересует