Ответы
Ответ дал:
0
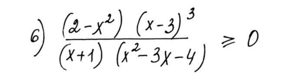
Разложим многочлены в скобках на множители:

Применим графическую иллюстрацию к методу интервалов:
+ - - + - +
-----|wwwwowwww|-----|wwwwo----->
-1
3 4
![x in [- sqrt{2} ;-1) cup (-1; sqrt{2} ] cup [3;4). x in [- sqrt{2} ;-1) cup (-1; sqrt{2} ] cup [3;4).](https://tex.z-dn.net/?f=x+in+%5B-+sqrt%7B2%7D+%3B-1%29+cup+%28-1%3B+sqrt%7B2%7D+%5D+cup+%5B3%3B4%29.+)
Применим графическую иллюстрацию к методу интервалов:
+ - - + - +
-----|wwwwowwww|-----|wwwwo----->
Приложения:

Ответ дал:
0
что непонятно - не стесняемся, спрашиваем )))
Ответ дал:
0
Все ок, спасибо)
Ответ дал:
0
ну, на здоровье ))
Ответ дал:
0
Решение смотри в приложении
Приложения:

Вас заинтересует
2 года назад
7 лет назад
10 лет назад
10 лет назад
10 лет назад