Ответы
Ответ дал:
0
Все решение на фото ..............
Приложения:

Ответ дал:
0
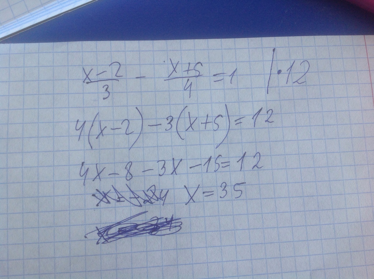
(x-2)/3-(x+5)/4 = 1
x/3-2/3-x/4-5/4 = 1
-23/12 + x/12 = 1
x/12 = 35/12
Разделим обе части ур-ния на 1/12
x = 35/12 / (1/12)
x = 35
x/3-2/3-x/4-5/4 = 1
-23/12 + x/12 = 1
x/12 = 35/12
Разделим обе части ур-ния на 1/12
x = 35/12 / (1/12)
x = 35
Приложения:

Вас заинтересует
2 года назад
7 лет назад
7 лет назад