Ответы
Ответ дал:
0
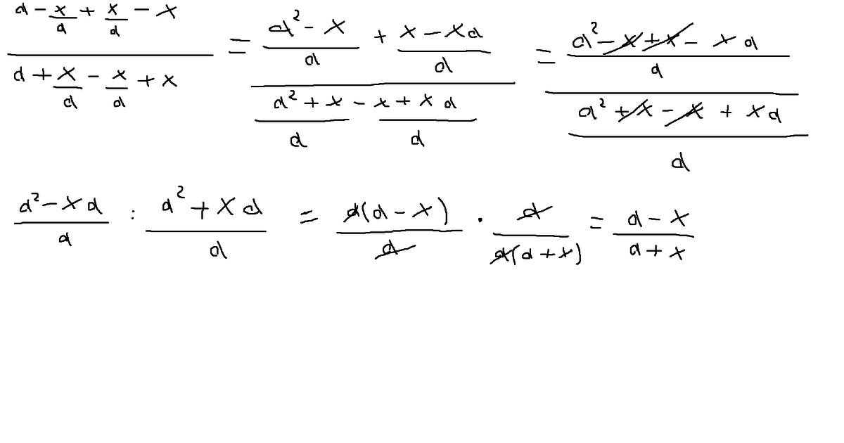
а-х/a + x/a-x
___________
a+x/a - x/a+x
___________
a+x/a - x/a+x
Приложения:

Вас заинтересует
2 года назад
7 лет назад
10 лет назад
10 лет назад
10 лет назад