• Предмет: Алгебра
  • Автор: mstitel2035
  • Вопрос задан 10 лет назад

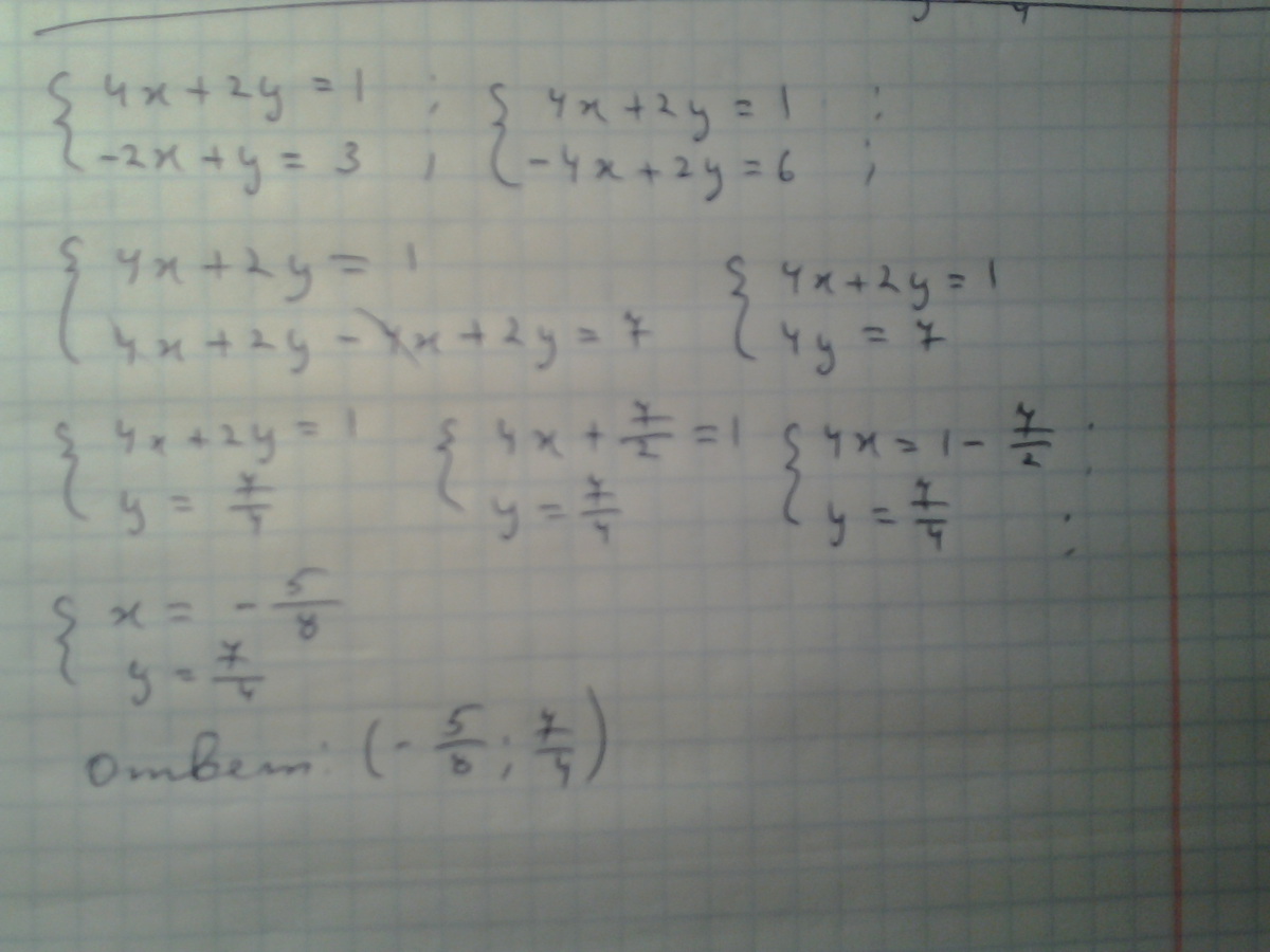
просто решить методом алгебраического сложения:


4x+2y=1
-2x+y=3

халява 30 баллов

Ответы

Ответ дал: ВладимирБ
0
Решение смотри в приложении
Приложения:
Ответ дал: mstitel2035
0
ты выиграл 30 баллов:)
Ответ дал: Largetoothedraptor
0
только 15 ))))))))))))))обманщик ))))))
Ответ дал: mstitel2035
0
иногда я буду заходить с других акк и раздавать халявные баллы среди отличников так что смотрите внимательно
Ответ дал: Largetoothedraptor
0
Решение на фотографии 
Приложения:
Вас заинтересует