Ответы
Ответ дал:
0
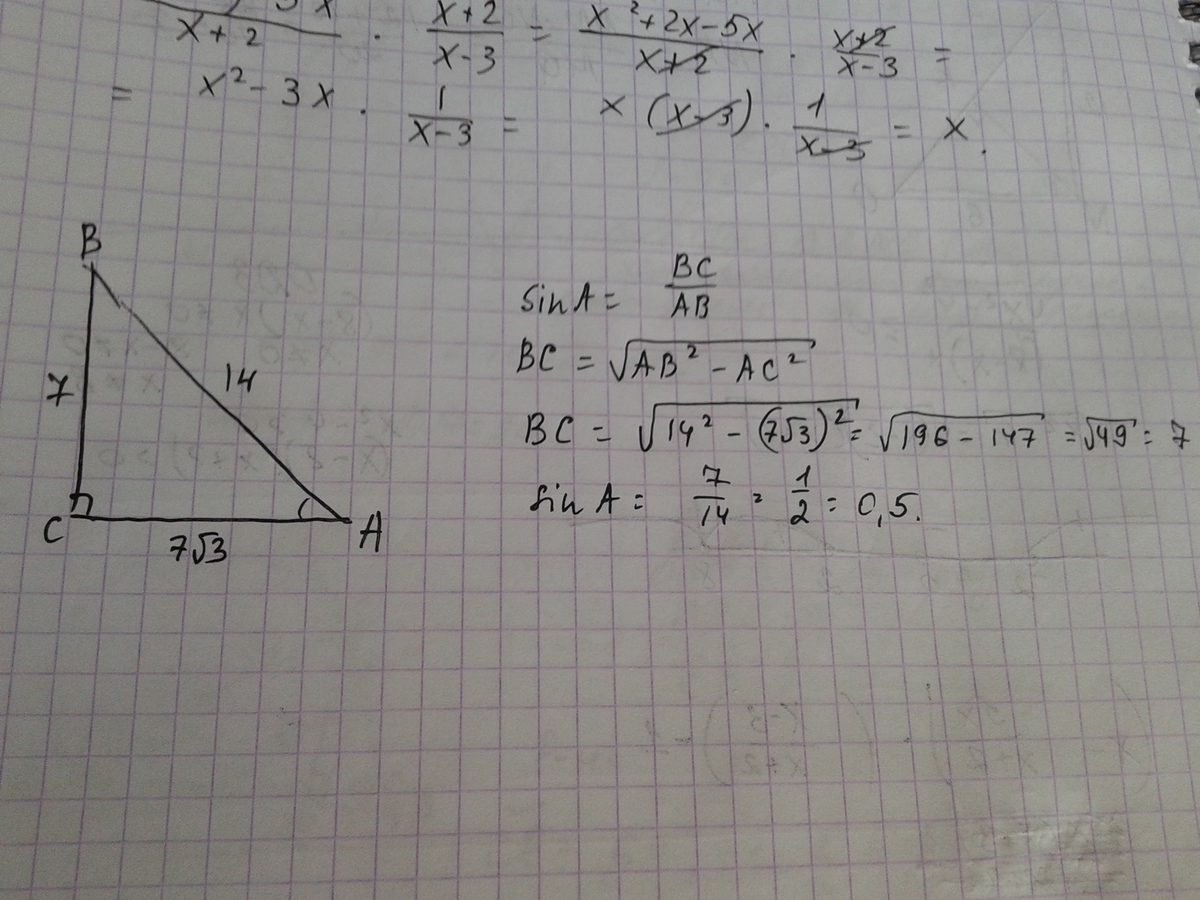
cинус (sin) - отношение противолежащего катета к гипотенузе
по теореме Пифагора найдем СВ:
СВ = √(АВ²-АС²) = √(196-147) = √49 = 7
sinА = 7 / 14 = 1 / 2 = 0,5
по теореме Пифагора найдем СВ:
СВ = √(АВ²-АС²) = √(196-147) = √49 = 7
sinА = 7 / 14 = 1 / 2 = 0,5
Ответ дал:
0
,,,,,,,,,,,,,,,,,,,,,,,,,,,,,,,,,,,,,,,,,,
Приложения:

Вас заинтересует
7 лет назад
7 лет назад
10 лет назад
10 лет назад
10 лет назад