Ответы
Ответ дал:
0
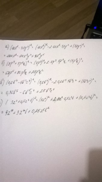
По формуле сокращенного умножения:
(a + b)2 = a2 + 2ab + b2
(a - b)2 = a2 - 2ab + b2
(a + b)2 = a2 + 2ab + b2
(a - b)2 = a2 - 2ab + b2
Приложения:

Ответ дал:
0
спасибо большое!!!❤️❤️❤️
Вас заинтересует
2 года назад
2 года назад
7 лет назад
7 лет назад
10 лет назад
10 лет назад
10 лет назад
10 лет назад