• Предмет: Математика
  • Автор: wissero679
  • Вопрос задан 10 лет назад

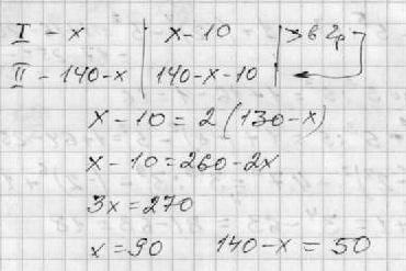
В двух цистернах было 140 т бензина. После того как из каждой цистерны продали по 10 т, в первой цистерне оказалось в два раза больше бензина, чем во второй. Сколько тонн бензина было в каждой цистерне первоночально

Ответы

Ответ дал: математик2011
0
смотри решение ниже!
Приложения:
Вас заинтересует