• Предмет: Алгебра
  • Автор: Creator2000
  • Вопрос задан 10 лет назад

Решить систему уравнений:
x^2y+xy^2=6
xy+(x+y)=5

Ответы

Ответ дал: artalex74
0
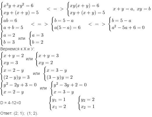
begin{cases} x^2y+xy^2=6 \ xy+(x+y)=5 end{cases}  textless  = textgreater   begin{cases} xy(x+y)=6 \ xy+(x+y)=5   end{cases} x+y=a, xy=b \ begin{cases} ab=6 \ a+b=5 end{cases}  textless  = textgreater   
begin{cases} b=5-a \ a(5-a)=6 end{cases}  textless  = textgreater   begin{cases} b=5-a \ a^2-5a+6=0 end{cases}
 begin{cases} a=2 \ b=3 end{cases}   или    begin{cases} a=3 \ b=2 end{cases}
Вернемся к Х и У:
 begin{cases} x+y=2 \ xy=3 end{cases}  или   begin{cases} x+y=3 \ xy=2 end{cases}
 begin{cases} x=2-y \ (2-y)y=3 end{cases}   или    begin{cases} x=3-y \ (3-y)y=2 end{cases}
 begin{cases} y^2-2y+3=0 \ x=2-y end{cases}   или    begin{cases} y^2-3y+2=0 \ x=3-y end{cases}
D = 4-12<0                         begin{cases} y_1=1 \ x_1=2 end{cases}    begin{cases} y_2=2 \ x_2=1 end{cases}
Ответ: (2; 1);  (1; 2).
Приложения:
Вас заинтересует