Ответы
Ответ дал:
0
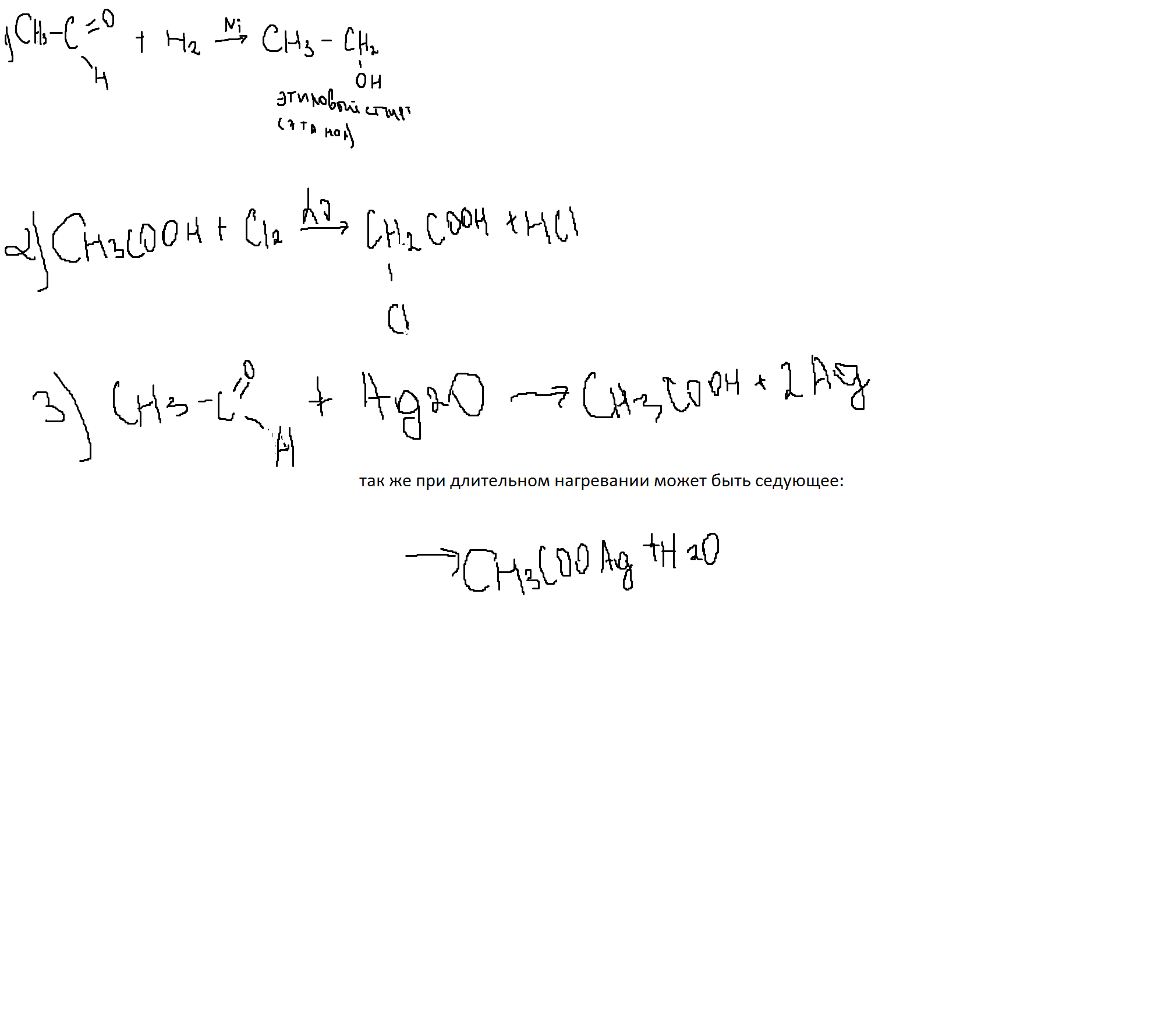
1. СН3СHO + H2 ----> С2Н5ОН - восстановление уксусного альдегида водородом;
2. CH3COOH +Cl2 -----> CH2ClCOOH + HCl(стрел. вверх)
3. СН3СHO + AgO2 ----> CH3COOH + Ag - Реакция серебряного зеркала
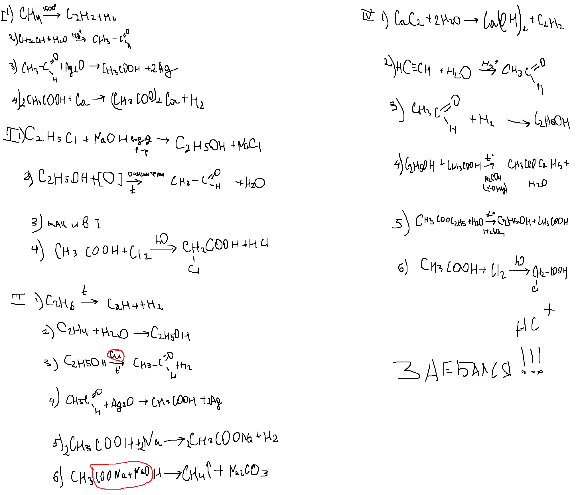
1)(2)CH4 ---->(t) + (3)H2(стрел.вверх) - крекинг
2) C2H2 + H2O ----->(кат) [C2H3OH] ----> СН3СHO - реакция Кучерова
3) СН3СHO + AgO2 ----->(кат) CH3COOH + Ag - реакция серебряного зеркала
4) CH3COOH + CaCO3 ----> (CH3COO)2 + H2O +CO2(стрел. вверх)
Уф:) Поздно просто:) решил бы больше.
Ответ дал:
0
вот смотри честно надоело
Приложения:


Вас заинтересует
2 года назад
2 года назад
8 лет назад
10 лет назад
10 лет назад
10 лет назад