ПОЖАЛУЙСТА,СРОЧНООО!Определите массу 92%-го раствора этанола, необходимого для получении 1,12 л этилена.
Ответы
Ответ дал:
0
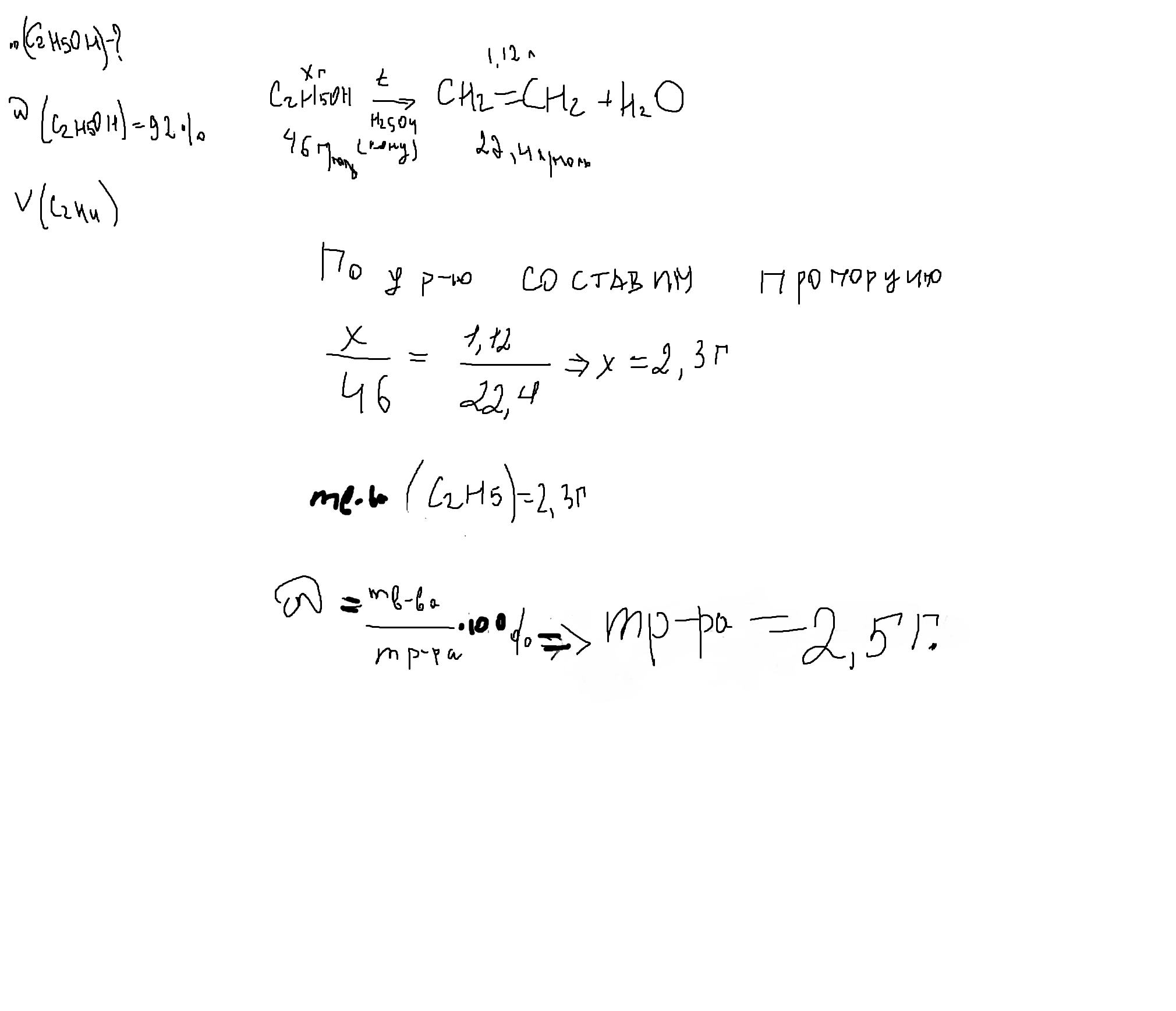
вот смотрите. надеюсь поймете)
Приложения:

Вас заинтересует
2 года назад
2 года назад
8 лет назад
8 лет назад
10 лет назад
10 лет назад
10 лет назад