Помогите!! Выполните умножение:
5/6*3/20 , 3/7*6/11 , 10/11*11/26 , 24/65*39/40 !!! Очееень надо!!
Ответы
Ответ дал:
0
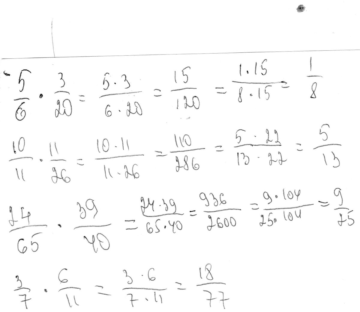
3/7 * 6/11 = 18/77
5/6 * 3/20 =15/120= 1/8
10/11 * 11/26 = 5/13
24/65 * 39/40 = 9/25
смотри во вложении
5/6 * 3/20 =15/120= 1/8
10/11 * 11/26 = 5/13
24/65 * 39/40 = 9/25
смотри во вложении
Приложения:

Ответ дал:
0
Спасибо но мне надо расписать как и что я получила((
Вас заинтересует
2 года назад
7 лет назад
7 лет назад
10 лет назад
10 лет назад
10 лет назад