Ответы
Ответ дал:
0
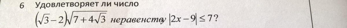
решение смотри на фотографии
Приложения:

Ответ дал:
0
Да,верно.
Ответ дал:
0
1 и 8 входит в решение неравенства. Исправьте.
Ответ дал:
0
Верное замечание.
Ответ дал:
0
спасибо
Вас заинтересует
2 года назад
2 года назад
7 лет назад
7 лет назад
10 лет назад
10 лет назад
10 лет назад