Уравнение со смешанными числами, с разными знаменателями
Помогите, все из головы вылетело(
Приложения:
Ответы
Ответ дал:
0
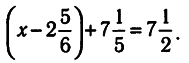
x-2 5/6=7 1/2-7 1/5=7 5/10-7 2/10=3/10
x=3/10+2 5/6=9/30+2 25/30=2 34/30=3 4/30=3 2/15
x=3/10+2 5/6=9/30+2 25/30=2 34/30=3 4/30=3 2/15
Ответ дал:
0
Действительно, главный мозг)
Спасибо!
Спасибо!
Ответ дал:
0
Вы лучшая в школьных знаниях
Вас заинтересует
3 года назад
8 лет назад
10 лет назад
10 лет назад
11 лет назад
11 лет назад