• Предмет: Алгебра
  • Автор: Ninelle20111
  • Вопрос задан 10 лет назад

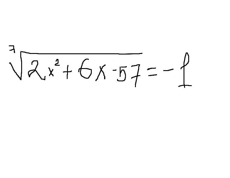
Решить иррациональное уравнение.

Приложения:

Ответы

Ответ дал: manyny06
0
РЕШЕНИЕ СМОТРИ НА ФОТОГРАФИИ
Приложения:
Вас заинтересует