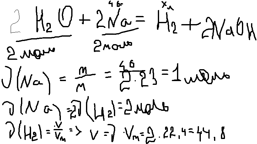
а)Вычислите какой объем водорода выделится при взаимодействии 46г натрия с избытком воды
б) Закончите уравнение химической реакции Сг(Ш)+О2=
Укажите окислитель и востановитель. Запишите процесс окисления и процесс восстановления
Ответы
Ответ дал:
0
извиняюсь за корявость почерка)
и б) задание - уточните, пожалуйста, что значит (Ш)
Приложения:
Вас заинтересует
3 года назад
3 года назад
8 лет назад
8 лет назад
11 лет назад
11 лет назад
11 лет назад