Ответы
Ответ дал:
0
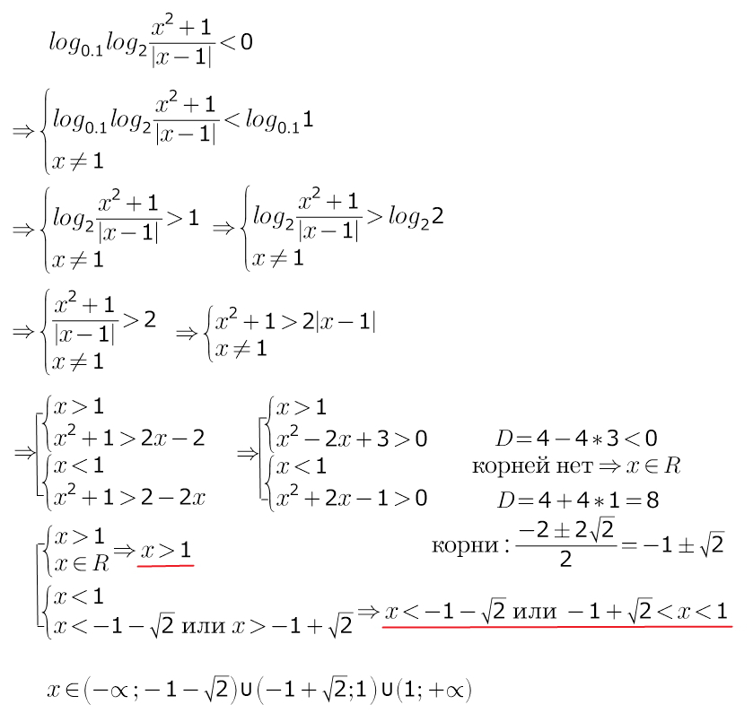
логарифмическое неравенство само по себе не очень сложное...
а решение получившейся системы неравенств
проиллюстрировала и графически)))
нужно раскрыть модуль по определению
и рассмотреть совокупность двух получившихся систем...
а решение получившейся системы неравенств
проиллюстрировала и графически)))
нужно раскрыть модуль по определению
и рассмотреть совокупность двух получившихся систем...
Приложения:


Вас заинтересует
2 года назад
7 лет назад
10 лет назад
10 лет назад
10 лет назад
10 лет назад