• Предмет: Математика
  • Автор: Yuops
  • Вопрос задан 11 лет назад

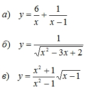
Найти области определения функций:

помогите решить пожалуйста картинка снизу

Приложения:

Ответы

Ответ дал: Udjin
0

а) X=/=0 и 

X-1=/0

 

б) x^2 -3x+2>=0

x=-1

x=3

x принадлежит [-1;3]

 

в) x-1>=0 или

x^2-1=/=0

 

=/= — не равно!

Ответ дал: Milli205
0

a) x/=0  x/ =1     xe(-oo.0)U(0.1)U(1.+oo)

б)  x^2-3x+2>0       x<1  x>2      xe(-oo.1)U(2.+oo)

в)  x^2-1/=0   x-1>0             x/=-1   x/=1   x>=1    xe(1.+oo)

Вас заинтересует