• Предмет: Алгебра
  • Автор: Krissttiinnaa
  • Вопрос задан 11 лет назад

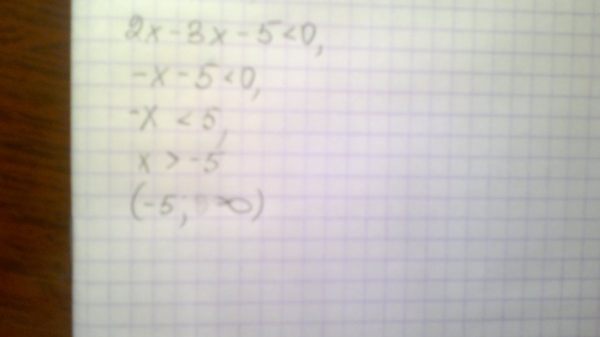
Решите неравенство: 2x – 3x – 5 < 0. В ответе укажите сумму целых решений неравенства.

Ответы

Ответ дал: helgaka
0

2x-3x<5
-x<5

 ответ(-5; до бесконечности)
лучевую сама начертишь? 

Ответ дал: Elena071270
0

Вот посмотри, вот так, ты точно сформулировала вопрос???

Приложения:
Вас заинтересует